下单业务
2024/9/26大约 8 分钟《RocketMQ》笔记RocketMQ消息队列分布式消息高吞吐事务消息顺序消息

1. 下单基本流程
1)接口定义
- IOrderService
public interface IOrderService {
/**
* 确认订单
* @param order
* @return Result
*/
Result confirmOrder(TradeOrder order);
}2)业务类实现
@Slf4j
@Component
@Service(interfaceClass = IOrderService.class)
public class OrderServiceImpl implements IOrderService {
@Override
public Result confirmOrder(TradeOrder order) {
//1.校验订单
//2.生成预订单
try {
//3.扣减库存
//4.扣减优惠券
//5.使用余额
//6.确认订单
//7.返回成功状态
} catch (Exception e) {
//1.确认订单失败,发送消息
//2.返回失败状态
}
}
}3)校验订单

private void checkOrder(TradeOrder order) {
//1.校验订单是否存在
if(order==null){
CastException.cast(ShopCode.SHOP_ORDER_INVALID);
}
//2.校验订单中的商品是否存在
TradeGoods goods = goodsService.findOne(order.getGoodsId());
if(goods==null){
CastException.cast(ShopCode.SHOP_GOODS_NO_EXIST);
}
//3.校验下单用户是否存在
TradeUser user = userService.findOne(order.getUserId());
if(user==null){
CastException.cast(ShopCode.SHOP_USER_NO_EXIST);
}
//4.校验商品单价是否合法
if(order.getGoodsPrice().compareTo(goods.getGoodsPrice())!=0){
CastException.cast(ShopCode.SHOP_GOODS_PRICE_INVALID);
}
//5.校验订单商品数量是否合法
if(order.getGoodsNumber()>=goods.getGoodsNumber()){
CastException.cast(ShopCode.SHOP_GOODS_NUM_NOT_ENOUGH);
}
log.info("校验订单通过");
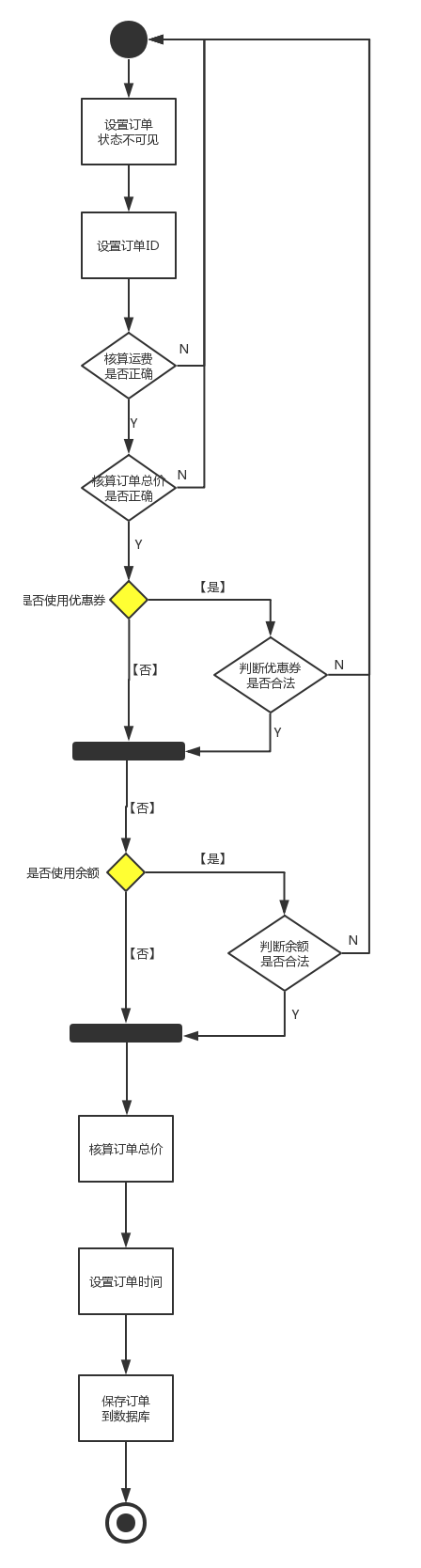
}4)生成预订单

private Long savePreOrder(TradeOrder order) {
//1.设置订单状态为不可见
order.setOrderStatus(ShopCode.SHOP_ORDER_NO_CONFIRM.getCode());
//2.订单ID
order.setOrderId(idWorker.nextId());
//核算运费是否正确
BigDecimal shippingFee = calculateShippingFee(order.getOrderAmount());
if (order.getShippingFee().compareTo(shippingFee) != 0) {
CastException.cast(ShopCode.SHOP_ORDER_SHIPPINGFEE_INVALID);
}
//3.计算订单总价格是否正确
BigDecimal orderAmount = order.getGoodsPrice().multiply(new BigDecimal(order.getGoodsNumber()));
orderAmount.add(shippingFee);
if (orderAmount.compareTo(order.getOrderAmount()) != 0) {
CastException.cast(ShopCode.SHOP_ORDERAMOUNT_INVALID);
}
//4.判断优惠券信息是否合法
Long couponId = order.getCouponId();
if (couponId != null) {
TradeCoupon coupon = couponService.findOne(couponId);
//优惠券不存在
if (coupon == null) {
CastException.cast(ShopCode.SHOP_COUPON_NO_EXIST);
}
//优惠券已经使用
if ((ShopCode.SHOP_COUPON_ISUSED.getCode().toString())
.equals(coupon.getIsUsed().toString())) {
CastException.cast(ShopCode.SHOP_COUPON_INVALIED);
}
order.setCouponPaid(coupon.getCouponPrice());
} else {
order.setCouponPaid(BigDecimal.ZERO);
}
//5.判断余额是否正确
BigDecimal moneyPaid = order.getMoneyPaid();
if (moneyPaid != null) {
//比较余额是否大于0
int r = order.getMoneyPaid().compareTo(BigDecimal.ZERO);
//余额小于0
if (r == -1) {
CastException.cast(ShopCode.SHOP_MONEY_PAID_LESS_ZERO);
}
//余额大于0
if (r == 1) {
//查询用户信息
TradeUser user = userService.findOne(order.getUserId());
if (user == null) {
CastException.cast(ShopCode.SHOP_USER_NO_EXIST);
}
//比较余额是否大于用户账户余额
if (user.getUserMoney().compareTo(order.getMoneyPaid().longValue()) == -1) {
CastException.cast(ShopCode.SHOP_MONEY_PAID_INVALID);
}
order.setMoneyPaid(order.getMoneyPaid());
}
} else {
order.setMoneyPaid(BigDecimal.ZERO);
}
//计算订单支付总价
order.setPayAmount(orderAmount.subtract(order.getCouponPaid())
.subtract(order.getMoneyPaid()));
//设置订单添加时间
order.setAddTime(new Date());
//保存预订单
int r = orderMapper.insert(order);
if (ShopCode.SHOP_SUCCESS.getCode() != r) {
CastException.cast(ShopCode.SHOP_ORDER_SAVE_ERROR);
}
log.info("订单:["+order.getOrderId()+"]预订单生成成功");
return order.getOrderId();
}5)扣减库存
- 通过dubbo调用商品服务完成扣减库存
private void reduceGoodsNum(TradeOrder order) {
TradeGoodsNumberLog goodsNumberLog = new TradeGoodsNumberLog();
goodsNumberLog.setGoodsId(order.getGoodsId());
goodsNumberLog.setOrderId(order.getOrderId());
goodsNumberLog.setGoodsNumber(order.getGoodsNumber());
Result result = goodsService.reduceGoodsNum(goodsNumberLog);
if (result.getSuccess().equals(ShopCode.SHOP_FAIL.getSuccess())) {
CastException.cast(ShopCode.SHOP_REDUCE_GOODS_NUM_FAIL);
}
log.info("订单:["+order.getOrderId()+"]扣减库存["+order.getGoodsNumber()+"个]成功");
}- 商品服务GoodsService扣减库存
@Override
public Result reduceGoodsNum(TradeGoodsNumberLog goodsNumberLog) {
if (goodsNumberLog == null ||
goodsNumberLog.getGoodsNumber() == null ||
goodsNumberLog.getOrderId() == null ||
goodsNumberLog.getGoodsNumber() == null ||
goodsNumberLog.getGoodsNumber().intValue() <= 0) {
CastException.cast(ShopCode.SHOP_REQUEST_PARAMETER_VALID);
}
TradeGoods goods = goodsMapper.selectByPrimaryKey(goodsNumberLog.getGoodsId());
if(goods.getGoodsNumber()<goodsNumberLog.getGoodsNumber()){
//库存不足
CastException.cast(ShopCode.SHOP_GOODS_NUM_NOT_ENOUGH);
}
//减库存
goods.setGoodsNumber(goods.getGoodsNumber()-goodsNumberLog.getGoodsNumber());
goodsMapper.updateByPrimaryKey(goods);
//记录库存操作日志
goodsNumberLog.setGoodsNumber(-(goodsNumberLog.getGoodsNumber()));
goodsNumberLog.setLogTime(new Date());
goodsNumberLogMapper.insert(goodsNumberLog);
return new Result(ShopCode.SHOP_SUCCESS.getSuccess(),ShopCode.SHOP_SUCCESS.getMessage());
}6)扣减优惠券
- 通过dubbo完成扣减优惠券
private void changeCoponStatus(TradeOrder order) {
//判断用户是否使用优惠券
if (!StringUtils.isEmpty(order.getCouponId())) {
//封装优惠券对象
TradeCoupon coupon = couponService.findOne(order.getCouponId());
coupon.setIsUsed(ShopCode.SHOP_COUPON_ISUSED.getCode());
coupon.setUsedTime(new Date());
coupon.setOrderId(order.getOrderId());
Result result = couponService.changeCouponStatus(coupon);
//判断执行结果
if (result.getSuccess().equals(ShopCode.SHOP_FAIL.getSuccess())) {
//优惠券使用失败
CastException.cast(ShopCode.SHOP_COUPON_USE_FAIL);
}
log.info("订单:["+order.getOrderId()+"]使用扣减优惠券["+coupon.getCouponPrice()+"元]成功");
}
}- 优惠券服务CouponService更改优惠券状态
@Override
public Result changeCouponStatus(TradeCoupon coupon) {
try {
//判断请求参数是否合法
if (coupon == null || StringUtils.isEmpty(coupon.getCouponId())) {
CastException.cast(ShopCode.SHOP_REQUEST_PARAMETER_VALID);
}
//更新优惠券状态为已使用
couponMapper.updateByPrimaryKey(coupon);
return new Result(ShopCode.SHOP_SUCCESS.getSuccess(), ShopCode.SHOP_SUCCESS.getMessage());
} catch (Exception e) {
return new Result(ShopCode.SHOP_FAIL.getSuccess(), ShopCode.SHOP_FAIL.getMessage());
}
}7)扣减用户余额
- 通过用户服务完成扣减余额
private void reduceMoneyPaid(TradeOrder order) {
//判断订单中使用的余额是否合法
if (order.getMoneyPaid() != null && order.getMoneyPaid().compareTo(BigDecimal.ZERO) == 1) {
TradeUserMoneyLog userMoneyLog = new TradeUserMoneyLog();
userMoneyLog.setOrderId(order.getOrderId());
userMoneyLog.setUserId(order.getUserId());
userMoneyLog.setUseMoney(order.getMoneyPaid());
userMoneyLog.setMoneyLogType(ShopCode.SHOP_USER_MONEY_PAID.getCode());
//扣减余额
Result result = userService.changeUserMoney(userMoneyLog);
if (result.getSuccess().equals(ShopCode.SHOP_FAIL.getSuccess())) {
CastException.cast(ShopCode.SHOP_USER_MONEY_REDUCE_FAIL);
}
log.info("订单:["+order.getOrderId()+"扣减余额["+order.getMoneyPaid()+"元]成功]");
}
}- 用户服务UserService,更新余额

@Override
public Result changeUserMoney(TradeUserMoneyLog userMoneyLog) {
//判断请求参数是否合法
if (userMoneyLog == null
|| userMoneyLog.getUserId() == null
|| userMoneyLog.getUseMoney() == null
|| userMoneyLog.getOrderId() == null
|| userMoneyLog.getUseMoney().compareTo(BigDecimal.ZERO) <= 0) {
CastException.cast(ShopCode.SHOP_REQUEST_PARAMETER_VALID);
}
//查询该订单是否存在付款记录
TradeUserMoneyLogExample userMoneyLogExample = new TradeUserMoneyLogExample();
userMoneyLogExample.createCriteria()
.andUserIdEqualTo(userMoneyLog.getUserId())
.andOrderIdEqualTo(userMoneyLog.getOrderId());
int count = userMoneyLogMapper.countByExample(userMoneyLogExample);
TradeUser tradeUser = new TradeUser();
tradeUser.setUserId(userMoneyLog.getUserId());
tradeUser.setUserMoney(userMoneyLog.getUseMoney().longValue());
//判断余额操作行为
//【付款操作】
if (userMoneyLog.getMoneyLogType().equals(ShopCode.SHOP_USER_MONEY_PAID.getCode())) {
//订单已经付款,则抛异常
if (count > 0) {
CastException.cast(ShopCode.SHOP_ORDER_PAY_STATUS_IS_PAY);
}
//用户账户扣减余额
userMapper.reduceUserMoney(tradeUser);
}
//【退款操作】
if (userMoneyLog.getMoneyLogType().equals(ShopCode.SHOP_USER_MONEY_REFUND.getCode())) {
//如果订单未付款,则不能退款,抛异常
if (count == 0) {
CastException.cast(ShopCode.SHOP_ORDER_PAY_STATUS_NO_PAY);
}
//防止多次退款
userMoneyLogExample = new TradeUserMoneyLogExample();
userMoneyLogExample.createCriteria()
.andUserIdEqualTo(userMoneyLog.getUserId())
.andOrderIdEqualTo(userMoneyLog.getOrderId())
.andMoneyLogTypeEqualTo(ShopCode.SHOP_USER_MONEY_REFUND.getCode());
count = userMoneyLogMapper.countByExample(userMoneyLogExample);
if (count > 0) {
CastException.cast(ShopCode.SHOP_USER_MONEY_REFUND_ALREADY);
}
//用户账户添加余额
userMapper.addUserMoney(tradeUser);
}
//记录用户使用余额日志
userMoneyLog.setCreateTime(new Date());
userMoneyLogMapper.insert(userMoneyLog);
return new Result(ShopCode.SHOP_SUCCESS.getSuccess(),ShopCode.SHOP_SUCCESS.getMessage());
}8)确认订单
private void updateOrderStatus(TradeOrder order) {
order.setOrderStatus(ShopCode.SHOP_ORDER_CONFIRM.getCode());
order.setPayStatus(ShopCode.SHOP_ORDER_PAY_STATUS_NO_PAY.getCode());
order.setConfirmTime(new Date());
int r = orderMapper.updateByPrimaryKey(order);
if (r <= 0) {
CastException.cast(ShopCode.SHOP_ORDER_CONFIRM_FAIL);
}
log.info("订单:["+order.getOrderId()+"]状态修改成功");
}9)小结
@Override
public Result confirmOrder(TradeOrder order) {
//1.校验订单
checkOrder(order);
//2.生成预订单
Long orderId = savePreOrder(order);
order.setOrderId(orderId);
try {
//3.扣减库存
reduceGoodsNum(order);
//4.扣减优惠券
changeCoponStatus(order);
//5.使用余额
reduceMoneyPaid(order);
//6.确认订单
updateOrderStatus(order);
log.info("订单:["+orderId+"]确认成功");
return new Result(ShopCode.SHOP_SUCCESS.getSuccess(), ShopCode.SHOP_SUCCESS.getMessage());
} catch (Exception e) {
//确认订单失败,发送消息
...
return new Result(ShopCode.SHOP_FAIL.getSuccess(), ShopCode.SHOP_FAIL.getMessage());
}
}2. 失败补偿机制
2.1 消息发送方
- 配置RocketMQ属性值
rocketmq.name-server=192.168.25.135:9876;192.168.25.138:9876
rocketmq.producer.group=orderProducerGroup
mq.order.consumer.group.name=order_orderTopic_cancel_group
mq.order.topic=orderTopic
mq.order.tag.confirm=order_confirm
mq.order.tag.cancel=order_cancel- 注入模板类和属性值信息
@Autowired
private RocketMQTemplate rocketMQTemplate;
@Value("${mq.order.topic}")
private String topic;
@Value("${mq.order.tag.cancel}")
private String cancelTag;- 发送下单失败消息
@Override
public Result confirmOrder(TradeOrder order) {
//1.校验订单
//2.生成预订
try {
//3.扣减库存
//4.扣减优惠券
//5.使用余额
//6.确认订单
} catch (Exception e) {
//确认订单失败,发送消息
CancelOrderMQ cancelOrderMQ = new CancelOrderMQ();
cancelOrderMQ.setOrderId(order.getOrderId());
cancelOrderMQ.setCouponId(order.getCouponId());
cancelOrderMQ.setGoodsId(order.getGoodsId());
cancelOrderMQ.setGoodsNumber(order.getGoodsNumber());
cancelOrderMQ.setUserId(order.getUserId());
cancelOrderMQ.setUserMoney(order.getMoneyPaid());
try {
sendMessage(topic,
cancelTag,
cancelOrderMQ.getOrderId().toString(),
JSON.toJSONString(cancelOrderMQ));
} catch (Exception e1) {
e1.printStackTrace();
CastException.cast(ShopCode.SHOP_MQ_SEND_MESSAGE_FAIL);
}
return new Result(ShopCode.SHOP_FAIL.getSuccess(), ShopCode.SHOP_FAIL.getMessage());
}
}private void sendMessage(String topic, String tags, String keys, String body) throws Exception {
//判断Topic是否为空
if (StringUtils.isEmpty(topic)) {
CastException.cast(ShopCode.SHOP_MQ_TOPIC_IS_EMPTY);
}
//判断消息内容是否为空
if (StringUtils.isEmpty(body)) {
CastException.cast(ShopCode.SHOP_MQ_MESSAGE_BODY_IS_EMPTY);
}
//消息体
Message message = new Message(topic, tags, keys, body.getBytes());
//发送消息
rocketMQTemplate.getProducer().send(message);
}2.2 消费接收方
- 配置RocketMQ属性值
rocketmq.name-server=192.168.25.135:9876;192.168.25.138:9876
mq.order.consumer.group.name=order_orderTopic_cancel_group
mq.order.topic=orderTopic- 创建监听类,消费消息
@Slf4j
@Component
@RocketMQMessageListener(topic = "${mq.order.topic}",
consumerGroup = "${mq.order.consumer.group.name}",
messageModel = MessageModel.BROADCASTING)
public class CancelOrderConsumer implements RocketMQListener<MessageExt>{
@Override
public void onMessage(MessageExt messageExt) {
...
}
}1)回退库存
- 流程分析

- 消息消费者
@Slf4j
@Component
@RocketMQMessageListener(topic = "${mq.order.topic}",consumerGroup = "${mq.order.consumer.group.name}",messageModel = MessageModel.BROADCASTING )
public class CancelMQListener implements RocketMQListener<MessageExt>{
@Value("${mq.order.consumer.group.name}")
private String groupName;
@Autowired
private TradeGoodsMapper goodsMapper;
@Autowired
private TradeMqConsumerLogMapper mqConsumerLogMapper;
@Autowired
private TradeGoodsNumberLogMapper goodsNumberLogMapper;
@Override
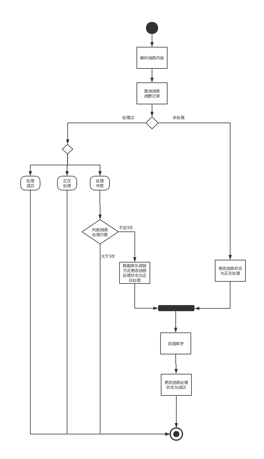
public void onMessage(MessageExt messageExt) {
String msgId=null;
String tags=null;
String keys=null;
String body=null;
try {
//1. 解析消息内容
msgId = messageExt.getMsgId();
tags= messageExt.getTags();
keys= messageExt.getKeys();
body= new String(messageExt.getBody(),"UTF-8");
log.info("接受消息成功");
//2. 查询消息消费记录
TradeMqConsumerLogKey primaryKey = new TradeMqConsumerLogKey();
primaryKey.setMsgTag(tags);
primaryKey.setMsgKey(keys);
primaryKey.setGroupName(groupName);
TradeMqConsumerLog mqConsumerLog = mqConsumerLogMapper.selectByPrimaryKey(primaryKey);
if(mqConsumerLog!=null){
//3. 判断如果消费过...
//3.1 获得消息处理状态
Integer status = mqConsumerLog.getConsumerStatus();
//处理过...返回
if(ShopCode.SHOP_MQ_MESSAGE_STATUS_SUCCESS.getCode().intValue()==status.intValue()){
log.info("消息:"+msgId+",已经处理过");
return;
}
//正在处理...返回
if(ShopCode.SHOP_MQ_MESSAGE_STATUS_PROCESSING.getCode().intValue()==status.intValue()){
log.info("消息:"+msgId+",正在处理");
return;
}
//处理失败
if(ShopCode.SHOP_MQ_MESSAGE_STATUS_FAIL.getCode().intValue()==status.intValue()){
//获得消息处理次数
Integer times = mqConsumerLog.getConsumerTimes();
if(times>3){
log.info("消息:"+msgId+",消息处理超过3次,不能再进行处理了");
return;
}
mqConsumerLog.setConsumerStatus(ShopCode.SHOP_MQ_MESSAGE_STATUS_PROCESSING.getCode());
//使用数据库乐观锁更新
TradeMqConsumerLogExample example = new TradeMqConsumerLogExample();
TradeMqConsumerLogExample.Criteria criteria = example.createCriteria();
criteria.andMsgTagEqualTo(mqConsumerLog.getMsgTag());
criteria.andMsgKeyEqualTo(mqConsumerLog.getMsgKey());
criteria.andGroupNameEqualTo(groupName);
criteria.andConsumerTimesEqualTo(mqConsumerLog.getConsumerTimes());
int r = mqConsumerLogMapper.updateByExampleSelective(mqConsumerLog, example);
if(r<=0){
//未修改成功,其他线程并发修改
log.info("并发修改,稍后处理");
}
}
}else{
//4. 判断如果没有消费过...
mqConsumerLog = new TradeMqConsumerLog();
mqConsumerLog.setMsgTag(tags);
mqConsumerLog.setMsgKey(keys);
mqConsumerLog.setConsumerStatus(ShopCode.SHOP_MQ_MESSAGE_STATUS_PROCESSING.getCode());
mqConsumerLog.setMsgBody(body);
mqConsumerLog.setMsgId(msgId);
mqConsumerLog.setConsumerTimes(0);
//将消息处理信息添加到数据库
mqConsumerLogMapper.insert(mqConsumerLog);
}
//5. 回退库存
MQEntity mqEntity = JSON.parseObject(body, MQEntity.class);
Long goodsId = mqEntity.getGoodsId();
TradeGoods goods = goodsMapper.selectByPrimaryKey(goodsId);
goods.setGoodsNumber(goods.getGoodsNumber()+mqEntity.getGoodsNum());
goodsMapper.updateByPrimaryKey(goods);
//记录库存操作日志
TradeGoodsNumberLog goodsNumberLog = new TradeGoodsNumberLog();
goodsNumberLog.setOrderId(mqEntity.getOrderId());
goodsNumberLog.setGoodsId(goodsId);
goodsNumberLog.setGoodsNumber(mqEntity.getGoodsNum());
goodsNumberLog.setLogTime(new Date());
goodsNumberLogMapper.insert(goodsNumberLog);
//6. 将消息的处理状态改为成功
mqConsumerLog.setConsumerStatus(ShopCode.SHOP_MQ_MESSAGE_STATUS_SUCCESS.getCode());
mqConsumerLog.setConsumerTimestamp(new Date());
mqConsumerLogMapper.updateByPrimaryKey(mqConsumerLog);
log.info("回退库存成功");
} catch (Exception e) {
e.printStackTrace();
TradeMqConsumerLogKey primaryKey = new TradeMqConsumerLogKey();
primaryKey.setMsgTag(tags);
primaryKey.setMsgKey(keys);
primaryKey.setGroupName(groupName);
TradeMqConsumerLog mqConsumerLog = mqConsumerLogMapper.selectByPrimaryKey(primaryKey);
if(mqConsumerLog==null){
//数据库未有记录
mqConsumerLog = new TradeMqConsumerLog();
mqConsumerLog.setMsgTag(tags);
mqConsumerLog.setMsgKey(keys);
mqConsumerLog.setConsumerStatus(ShopCode.SHOP_MQ_MESSAGE_STATUS_FAIL.getCode());
mqConsumerLog.setMsgBody(body);
mqConsumerLog.setMsgId(msgId);
mqConsumerLog.setConsumerTimes(1);
mqConsumerLogMapper.insert(mqConsumerLog);
}else{
mqConsumerLog.setConsumerTimes(mqConsumerLog.getConsumerTimes()+1);
mqConsumerLogMapper.updateByPrimaryKeySelective(mqConsumerLog);
}
}
}
}2)回退优惠券
@Slf4j
@Component
@RocketMQMessageListener(topic = "${mq.order.topic}",consumerGroup = "${mq.order.consumer.group.name}",messageModel = MessageModel.BROADCASTING )
public class CancelMQListener implements RocketMQListener<MessageExt>{
@Autowired
private TradeCouponMapper couponMapper;
@Override
public void onMessage(MessageExt message) {
try {
//1. 解析消息内容
String body = new String(message.getBody(), "UTF-8");
MQEntity mqEntity = JSON.parseObject(body, MQEntity.class);
log.info("接收到消息");
//2. 查询优惠券信息
TradeCoupon coupon = couponMapper.selectByPrimaryKey(mqEntity.getCouponId());
//3.更改优惠券状态
coupon.setUsedTime(null);
coupon.setIsUsed(ShopCode.SHOP_COUPON_UNUSED.getCode());
coupon.setOrderId(null);
couponMapper.updateByPrimaryKey(coupon);
log.info("回退优惠券成功");
} catch (UnsupportedEncodingException e) {
e.printStackTrace();
log.error("回退优惠券失败");
}
}
}3)回退余额
@Slf4j
@Component
@RocketMQMessageListener(topic = "${mq.order.topic}",consumerGroup = "${mq.order.consumer.group.name}",messageModel = MessageModel.BROADCASTING )
public class CancelMQListener implements RocketMQListener<MessageExt>{
@Autowired
private IUserService userService;
@Override
public void onMessage(MessageExt messageExt) {
try {
//1.解析消息
String body = new String(messageExt.getBody(), "UTF-8");
MQEntity mqEntity = JSON.parseObject(body, MQEntity.class);
log.info("接收到消息");
if(mqEntity.getUserMoney()!=null && mqEntity.getUserMoney().compareTo(BigDecimal.ZERO)>0){
//2.调用业务层,进行余额修改
TradeUserMoneyLog userMoneyLog = new TradeUserMoneyLog();
userMoneyLog.setUseMoney(mqEntity.getUserMoney());
userMoneyLog.setMoneyLogType(ShopCode.SHOP_USER_MONEY_REFUND.getCode());
userMoneyLog.setUserId(mqEntity.getUserId());
userMoneyLog.setOrderId(mqEntity.getOrderId());
userService.updateMoneyPaid(userMoneyLog);
log.info("余额回退成功");
}
} catch (UnsupportedEncodingException e) {
e.printStackTrace();
log.error("余额回退失败");
}
}
}4)取消订单
@Override
public void onMessage(MessageExt messageExt) {
String body = new String(messageExt.getBody(), "UTF-8");
String msgId = messageExt.getMsgId();
String tags = messageExt.getTags();
String keys = messageExt.getKeys();
log.info("CancelOrderProcessor receive message:"+messageExt);
CancelOrderMQ cancelOrderMQ = JSON.parseObject(body, CancelOrderMQ.class);
TradeOrder order = orderService.findOne(cancelOrderMQ.getOrderId());
order.setOrderStatus(ShopCode.SHOP_ORDER_CANCEL.getCode());
orderService.changeOrderStatus(order);
log.info("订单:["+order.getOrderId()+"]状态设置为取消");
return order;
}3. 测试
1)准备测试环境
@RunWith(SpringRunner.class)
@SpringBootTest(classes = ShopOrderServiceApplication.class)
public class OrderTest {
@Autowired
private IOrderService orderService;
}- 用户数据
- 商品数据
- 优惠券数据
2)测试下单成功流程
@Test
public void add(){
Long goodsId=XXXL;
Long userId=XXXL;
Long couponId=XXXL;
TradeOrder order = new TradeOrder();
order.setGoodsId(goodsId);
order.setUserId(userId);
order.setGoodsNumber(1);
order.setAddress("北京");
order.setGoodsPrice(new BigDecimal("5000"));
order.setOrderAmount(new BigDecimal("5000"));
order.setMoneyPaid(new BigDecimal("100"));
order.setCouponId(couponId);
order.setShippingFee(new BigDecimal(0));
orderService.confirmOrder(order);
}执行完毕后,查看数据库中用户的余额、优惠券数据,及订单的状态数据
3)测试下单失败流程
代码同上。
执行完毕后,查看用户的余额、优惠券数据是否发生更改,订单的状态是否为取消。
